Table of Contents
India is experiencing a renewable energy boom, and solar energy is the biggest driver in this industry. India's total renewable energy installed capacity surged by an impressive 24.2 GW (13.5%) in just one year, reaching 203.18 GW in October 2024,up from 178.98 GW in October 2023
As investors, we always look forward to maximizing our wealth by investing in significant growth opportunities. And renewable sector is one such growing industry. One such company dominating the solar energy sector is Vikram Solar, one of the most actively traded unlisted companies with high investor demand.
Here are some key achievements by Vikram Solar in 2024:
- Signed 152 MW module supply contract with NTPC.
- Secured strategic 250 MW module supply deal with Gujarat Industries.
- Recognized as ‘Top Performer’ in PVEL’s PV module reliability scorecard for the 6th consecutive year and the 7th time in the last 8 years.
- Secured a 397.7 MW module supply contract for NTPC’s Gujarat Solar Project.
- Got 3.5 GW module production capacity listed in Bloomberg NEF Tier- 1 global accreditation (Q4 FY 2023-24).
- Launched new TOPCon and heterojunction (HJT) PV modules.
This is why Vikram Solar Unlisted Shares have been in high investor demand in 2024.
What does Vikram Solar do?
Established in 2006, Vikram Solar is India's largest domestic PV module manufacturer and integrated solar energy solutions provider. They have a presence in solar photovoltaic (“PV”) modules, engineering, procurement, and construction (“EPC”) services, and operations and maintenance (“O&M”) services. With an international presence across 6 continents, they are an active contributor to shaping the solar revolution.
What Is The Market Share Of Vikram Solar?

According to a 2023 report by Statista, Vikram Solar is among India’s top 10 PV Module manufacturers in terms of production capacity. The company has successfully reached a 3.5 GW in manufacturing capacity in FY 23-24 and is expected to reach 10.5 GW Capacity by FY 24-25.
Details of Vikram Solar Unlisted Shares

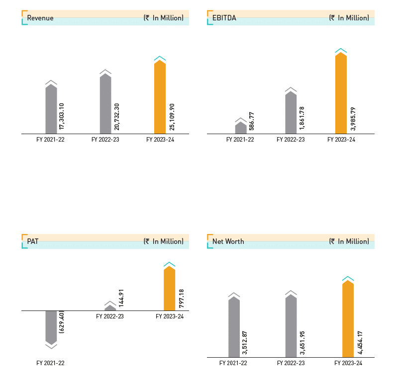
Vikram Solar Unlisted Share Price has grown by 30% in 2024 from Rs 375 in Jan 24 to Rs 488 in Jan 25. This is due to multiple projects in Vikram Solar's pipeline and recording its highest-ever profit of Revenue, EBITDA, and PAT(see the image below).

From the above data, a favorable investment opportunity can arise in Vikram Solar Unlisted Shares.
Vikram solar future plans 2025
- Capacity Expansion: Establishing a new manufacturing unit in Gangaikondan, Tamil Nadu. With a projected capacity of 3 GW for cells and 6 GW modules.
- Global Footprint: planning to establish a US manufacturing presence in a phased approach.
- Embracing Digitalisation: From integrating artificial intelligence (AI) and machine learning (ML) for predictive analytics to implementing blockchain and IoT in their supply chain processes.
Is Vikram Solar a good investment?
Considering Vikram Solar's key projects, sound financials, and future plans, this Solar PV manufacturing company ticks all the boxes for a promising investment. However, investors need to analyze the pros & cons of each company before investing.
Currently, Vikram Solar is not listed in the stock market. Investors can buy pre-IPO shares and own Vikram Solar shares before they get traded in the listed market.
Buy Vikram Solar Unlisted Shares byclickinghere. Investors can check the details of other pre-IPO shares atStockify.
Vikram Solar FAQs
Q1:Is Vikram Solar public?
Currently, Vikram Solar is not yet listed on any stock exchange, so it is not public.
Q2:Is it good to invest in Vikram Solar?
Vikram Solar is one of the most actively traded shares in the unlisted market. You can invest in Vikram Solar Unlisted Shares.
Q3:Is it legal to buy unlisted shares of Vikram Solar in India?
Yes, this is 100% legal and safe to buy unlisted shares of Vikram Solar Ltd. However, this is applicable when you buy Vikram Solar Ltd unlisted shares from reliable and known unlisted share dealers. You can request a quote or trade online at Stockify, we are ready to assist you.




















































